Maid for Weight Loss: Believe Yourself Healthy?
Ellen Langer is a Yale graduate, a Harvard psychology professor, an award winning researcher, and author of several interesting looking books on applied mindfulness. But it’s her study on hotel maids that’s gotten all the attention this year… hotel maids who apparently “thought themselves thin.”
(Yes, yes this is old news - but sometimes its fun to cover stories *after* the media frenzy dies down, dang nab it! Besides, it fits with the whole mindfulness craze that’s building from the Eckhart/Oprah thing)
Hotel maids are a busy and hard working group of people, lugging around heavy equipment, bending, turning, and scrubbing all day long. It’s a physically demanding and active job that burns a lot of calories.
But maids don’t typically see themselves as active, it turns out. When Langer and grad student Alia Crum surveyed 84 of these hard working women, two thirds of them said they didn’t regularly exercise. A full third said they didn’t get *any* exercise, inspite of their very active jobs. But what was really interesting is that when their fitness levels were measured - they matched their belief, rather than the reality. Their weight, blood pressure and other measurements were equivalent to people living a sedentary lifestyle.
“Given that they are exercising all day long,” Langer says, “that seemed to be bizarre.”
So Langer decided to change their perceptions, and measure the results.
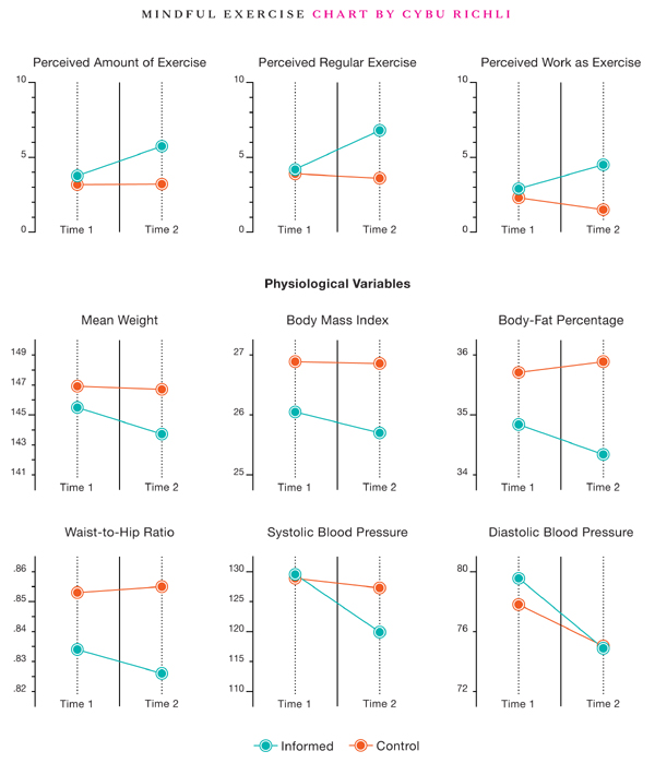
Half of the group was left alone to go about their ordinary lives and jobs normally. The other half was educated about just how active they really were, including a breakdown of how many calories each task burnt, and that their normal activity levels more than met the definition of an active lifestyle. At the end of the month, their fitness levels were checked again. The New York Times article even has a nifty graphic of the results available.
As expected, the control group saw no significant changes. But the group who had learned to see themselves as “active” lost an average of 2 pounds. Their blood pressure had dropped by 10 percent, and their waist to hip measurements had improved. They reported no changes to their lifestyles, and the research team could find no significant changes, either. They hadn’t worked harder or faster, they hadn’t started the latest fad diet or taken up jogging, they’d just started seeing themselves as active.
The way they *thought* about their activity levels somehow seemed to have changed the *impact* of their activity levels.
So is it possible to “think yourself thin?”
Maybe in some sense.
But keep in mind that these maids were physically active to begin with, not sitting at the computer sipping coffee and eating chocolate chip cookies (like a certain blog author who shall remain nameless) (and they aren’t even good cookies)
A lot of researchers and journalists seem skeptical, if intrigued, by the results - it just doesn’t fit with the standard assumptions about weight loss, or even with placebo effects. Some feel the study must have been flawed, or that the maids had changed their eating habits, or snuck off to exercise at the gym and not reported it.
But from my brain-blogging perspective, the results make sense.
Research has shown that our thoughts can impact the physical structure of the brain, something long believed impossible. Other studies have shown that practicing a movement *in your head* can light up the same parts of the brain as the actual movements, create the correct neural pathways for the movements, and that the involved muscles can develop and improve as a result, as well.
Why is it so tough to imagine that the way the study participants thought about their activity changed how their body processed the activity? That being aware of their energy exertions as a good thing might make it *more* of a good thing?
Feeling more positive about the physical benefits from their work, the maids may have approached their tasks with just a wee bit more of a spring in their step. Previously, they might have avoided extra movement as much possible, conserving energy whenever they could. Once they became aware that the movement in their work was a plus, instead of a minus, they may have reached just a little further to tuck in a sheet, walked just a little faster, scrubbed just a little harder, avoided it just a little bit less.
Then there’s all the complex brain chemistry to consider — could feeling better about the benefits to themselves have made them happier to do the work, and could that change the way they moved and expended energy?
And maybe feeling better about the benefits of their jobs *did* cause them to eat just a tiny bit better, eating one cookie instead of two, and using just a little bit less butter, drinking more water. Becoming aware, “mindful”, of your body can do that - maybe becoming aware of their bodies’ motion also helped them become subtly aware of their bodies’ nutritional needs, too.
Certainly it would be a stretch to say that their thoughts alone made the change in their fitness level.
But it doesn’t seem such a stretch to think that the mindful impact of their thoughts on the body helped changed their fitness level. And it doesn’t seem impossible that a better awareness of their body might improve the mind/body feedback systems, in turn improving their fitness level.
Don’t trust my interpretation?
Here’s some more info…
NPR: Hotel Maids
Challenge the Placebo Effect
Research Abstract: Mind-Set Matters: Exercise and
the Placebo Effect
___________________________________________________
MindTweak: “It’s hard to be funny when you have to be clean…”
-Mae West
___________________________________________________






